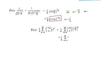
Video 2847 - Integrate 1/sqrt(1+x^4), infinite series, binomial series - Part 2/2

Tonton & Download Video Musik Gratis

⬇ DOWNLOAD NOW
Kalau muncul iklan pop-up, tutup lalu klik tombol kembali

Download lagu Video 2847 - Integrate 1/sqrt(1+x^4), infinite series, binomial series - Part 2/2 secara gratis hanya untuk keperluan promosi. Dukung artis favorit kamu dengan membeli musik original di iTunes atau platform resmi lainnya.