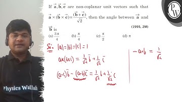
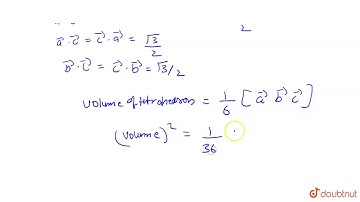
If šš, š› and šœ are non-coplanar unit vector such that ššĆ—(š›Ć—šœ)=š›+šœ/√(2), š› and šœ are non-...

Tonton & Download Video Musik Gratis

⬇ DOWNLOAD NOW
Kalau muncul iklan pop-up, tutup lalu klik tombol kembali

Download lagu If šš, š› and šœ are non-coplanar unit vector such that ššĆ—(š›Ć—šœ)=š›+šœ/√(2), š› and šœ are non-... secara gratis hanya untuk keperluan promosi. Dukung artis favorit kamu dengan membeli musik original di iTunes atau platform resmi lainnya.