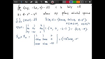
Ex 1: Using Stoke's Theorem to Evaluate a Line Integral as a Surface Integral

Tonton & Download Video Musik Gratis

⬇ DOWNLOAD NOW
Kalau muncul iklan pop-up, tutup lalu klik tombol kembali

Download lagu Ex 1: Using Stoke's Theorem to Evaluate a Line Integral as a Surface Integral secara gratis hanya untuk keperluan promosi. Dukung artis favorit kamu dengan membeli musik original di iTunes atau platform resmi lainnya.