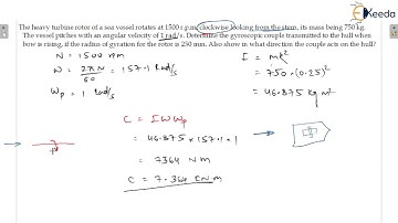
Theory+ Problem 2 effect of gyroscopic couple on naval ship during pitching/ Theory of machines

Tonton & Download Video Musik Gratis

⬇ DOWNLOAD NOW
Kalau muncul iklan pop-up, tutup lalu klik tombol kembali

Download lagu Theory+ Problem 2 effect of gyroscopic couple on naval ship during pitching/ Theory of machines secara gratis hanya untuk keperluan promosi. Dukung artis favorit kamu dengan membeli musik original di iTunes atau platform resmi lainnya.