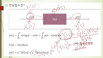
제어 공학 3 : 전달함수 Transfer function DC모터 전달함수

Tonton & Download Video Musik Gratis

⬇ DOWNLOAD NOW
Kalau muncul iklan pop-up, tutup lalu klik tombol kembali

Download lagu 제어 공학 3 : 전달함수 Transfer function DC모터 전달함수 secara gratis hanya untuk keperluan promosi. Dukung artis favorit kamu dengan membeli musik original di iTunes atau platform resmi lainnya.