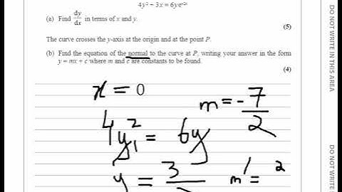
WMA14/01 P4 *Jan 2021* Q10 (Differential equation continued) Pt.2

Tonton & Download Video Musik Gratis

⬇ DOWNLOAD NOW
Kalau muncul iklan pop-up, tutup lalu klik tombol kembali

Download lagu WMA14/01 P4 *Jan 2021* Q10 (Differential equation continued) Pt.2 secara gratis hanya untuk keperluan promosi. Dukung artis favorit kamu dengan membeli musik original di iTunes atau platform resmi lainnya.