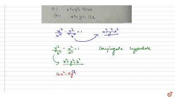
Locus of the feet of the perpendiculars drawn from either foci on a variable tangent to the hyper...

Tonton & Download Video Musik Gratis

⬇ DOWNLOAD NOW
Kalau muncul iklan pop-up, tutup lalu klik tombol kembali

Download lagu Locus of the feet of the perpendiculars drawn from either foci on a variable tangent to the hyper... secara gratis hanya untuk keperluan promosi. Dukung artis favorit kamu dengan membeli musik original di iTunes atau platform resmi lainnya.