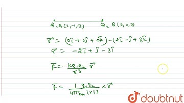
JEE | A charged particle q1 is at position ( 2, - 1, 3 )m . The electrostatic force on another char

Tonton & Download Video Musik Gratis

⬇ DOWNLOAD NOW
Kalau muncul iklan pop-up, tutup lalu klik tombol kembali

Download lagu JEE | A charged particle q1 is at position ( 2, - 1, 3 )m . The electrostatic force on another char secara gratis hanya untuk keperluan promosi. Dukung artis favorit kamu dengan membeli musik original di iTunes atau platform resmi lainnya.