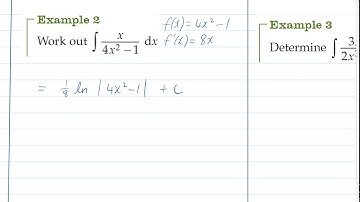
Integration Quotient Rule/Integrating Quotient Functions/Ibtisam ul haq

Tonton & Download Video Musik Gratis

⬇ DOWNLOAD NOW
Kalau muncul iklan pop-up, tutup lalu klik tombol kembali

Download lagu Integration Quotient Rule/Integrating Quotient Functions/Ibtisam ul haq secara gratis hanya untuk keperluan promosi. Dukung artis favorit kamu dengan membeli musik original di iTunes atau platform resmi lainnya.