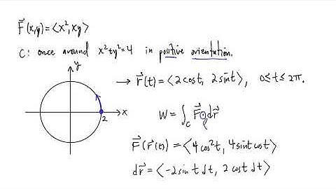
Example: Computing the Line Integral of a Vector Field (i.e. Work Done)

Tonton & Download Video Musik Gratis

⬇ DOWNLOAD NOW
Kalau muncul iklan pop-up, tutup lalu klik tombol kembali

Download lagu Example: Computing the Line Integral of a Vector Field (i.e. Work Done) secara gratis hanya untuk keperluan promosi. Dukung artis favorit kamu dengan membeli musik original di iTunes atau platform resmi lainnya.