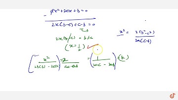
If the quadratic equations ax²+2bx+c =0 and ax²+2cx+b=0 have a common root,then show that a+4b+4c=0.

Tonton & Download Video Musik Gratis

⬇ DOWNLOAD NOW
Kalau muncul iklan pop-up, tutup lalu klik tombol kembali

Download lagu If the quadratic equations ax²+2bx+c =0 and ax²+2cx+b=0 have a common root,then show that a+4b+4c=0. secara gratis hanya untuk keperluan promosi. Dukung artis favorit kamu dengan membeli musik original di iTunes atau platform resmi lainnya.