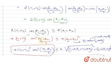
If `z_1 and z_2` two non zero complex numbers such that `|z_1+z_2|=|z_1|` then which of the

Tonton & Download Video Musik Gratis

⬇ DOWNLOAD NOW
Kalau muncul iklan pop-up, tutup lalu klik tombol kembali

Download lagu If `z_1 and z_2` two non zero complex numbers such that `|z_1+z_2|=|z_1|` then which of the secara gratis hanya untuk keperluan promosi. Dukung artis favorit kamu dengan membeli musik original di iTunes atau platform resmi lainnya.