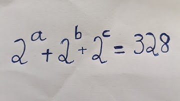
Math Olympiad | A Nice Exponential Problem 🤔#Kamalmam #exponentialproblem #matholympaid#maths

Tonton & Download Video Musik Gratis

⬇ DOWNLOAD NOW
Kalau muncul iklan pop-up, tutup lalu klik tombol kembali

Download lagu Math Olympiad | A Nice Exponential Problem 🤔#Kamalmam #exponentialproblem #matholympaid#maths secara gratis hanya untuk keperluan promosi. Dukung artis favorit kamu dengan membeli musik original di iTunes atau platform resmi lainnya.