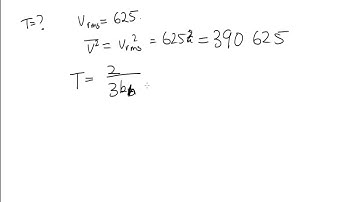
At a given temperature which of the following gases possesses maximum r.m.s. velocity? (a) Hydro...

Tonton & Download Video Musik Gratis

⬇ DOWNLOAD NOW
Kalau muncul iklan pop-up, tutup lalu klik tombol kembali

Download lagu At a given temperature which of the following gases possesses maximum r.m.s. velocity? (a) Hydro... secara gratis hanya untuk keperluan promosi. Dukung artis favorit kamu dengan membeli musik original di iTunes atau platform resmi lainnya.