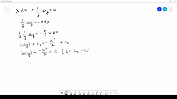
Solve: sin x dx+y dy=0; y(0)=-2||Seperable Differential equation || Initial value problem|| ODE

Tonton & Download Video Musik Gratis

⬇ DOWNLOAD NOW
Kalau muncul iklan pop-up, tutup lalu klik tombol kembali

Download lagu Solve: sin x dx+y dy=0; y(0)=-2||Seperable Differential equation || Initial value problem|| ODE secara gratis hanya untuk keperluan promosi. Dukung artis favorit kamu dengan membeli musik original di iTunes atau platform resmi lainnya.