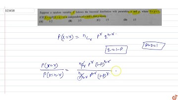
Suppose a random variable X follows the binomial distribution with parameters n and p, where 0l...

Tonton & Download Video Musik Gratis

⬇ DOWNLOAD NOW
Kalau muncul iklan pop-up, tutup lalu klik tombol kembali

Download lagu Suppose a random variable X follows the binomial distribution with parameters n and p, where 0l... secara gratis hanya untuk keperluan promosi. Dukung artis favorit kamu dengan membeli musik original di iTunes atau platform resmi lainnya.