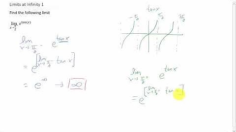
Find the limit as x approaches pi/2. Right sided limit for e^(tan x) Natural exponential function

Tonton & Download Video Musik Gratis

⬇ DOWNLOAD NOW
Kalau muncul iklan pop-up, tutup lalu klik tombol kembali

Download lagu Find the limit as x approaches pi/2. Right sided limit for e^(tan x) Natural exponential function secara gratis hanya untuk keperluan promosi. Dukung artis favorit kamu dengan membeli musik original di iTunes atau platform resmi lainnya.