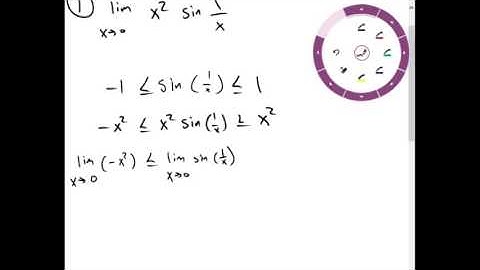
Sandwich Theorem & Trigonometric Limits | Example 2 | Calculus for Life Sciences | Griti

Tonton & Download Video Musik Gratis

⬇ DOWNLOAD NOW
Kalau muncul iklan pop-up, tutup lalu klik tombol kembali

Download lagu Sandwich Theorem & Trigonometric Limits | Example 2 | Calculus for Life Sciences | Griti secara gratis hanya untuk keperluan promosi. Dukung artis favorit kamu dengan membeli musik original di iTunes atau platform resmi lainnya.