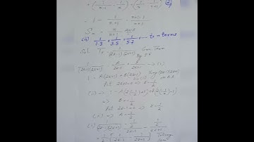
NEW Math 11th Exercise 5.4 Q.4 | Miscellaneous Series | Summation of series by Partial Fraction |

Tonton & Download Video Musik Gratis

⬇ DOWNLOAD NOW
Kalau muncul iklan pop-up, tutup lalu klik tombol kembali

Download lagu NEW Math 11th Exercise 5.4 Q.4 | Miscellaneous Series | Summation of series by Partial Fraction | secara gratis hanya untuk keperluan promosi. Dukung artis favorit kamu dengan membeli musik original di iTunes atau platform resmi lainnya.