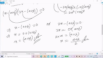
Solve for x (in terms of a and b) : a/x-b + b/x-a = 2, x is not equal to a, b .

Tonton & Download Video Musik Gratis

⬇ DOWNLOAD NOW
Kalau muncul iklan pop-up, tutup lalu klik tombol kembali

Download lagu Solve for x (in terms of a and b) : a/x-b + b/x-a = 2, x is not equal to a, b . secara gratis hanya untuk keperluan promosi. Dukung artis favorit kamu dengan membeli musik original di iTunes atau platform resmi lainnya.