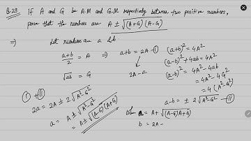
Class 11th Exercise 9.3 Q29 | If A and G be AM and GM respectively between two positive numbers,

Tonton & Download Video Musik Gratis

⬇ DOWNLOAD NOW
Kalau muncul iklan pop-up, tutup lalu klik tombol kembali

Download lagu Class 11th Exercise 9.3 Q29 | If A and G be AM and GM respectively between two positive numbers, secara gratis hanya untuk keperluan promosi. Dukung artis favorit kamu dengan membeli musik original di iTunes atau platform resmi lainnya.