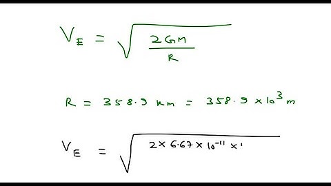
What is the escape speed on a spherical asteroid whose radius is \( 700 \mathrm{~km} \) and whos...

Tonton & Download Video Musik Gratis

⬇ DOWNLOAD NOW
Kalau muncul iklan pop-up, tutup lalu klik tombol kembali

Download lagu What is the escape speed on a spherical asteroid whose radius is \( 700 \mathrm{~km} \) and whos... secara gratis hanya untuk keperluan promosi. Dukung artis favorit kamu dengan membeli musik original di iTunes atau platform resmi lainnya.