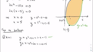
Calculus 2 (203) - 5.1 - Area using Vertical Slices (Video 2)

Tonton & Download Video Musik Gratis

⬇ DOWNLOAD NOW
Kalau muncul iklan pop-up, tutup lalu klik tombol kembali

Download lagu Calculus 2 (203) - 5.1 - Area using Vertical Slices (Video 2) secara gratis hanya untuk keperluan promosi. Dukung artis favorit kamu dengan membeli musik original di iTunes atau platform resmi lainnya.