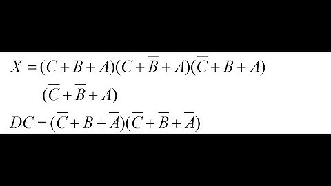
K - MAP in Digital Logic - 1 Question 20 Answers (Secure 5 marks for sure) (Contact @ 8368017658)

Tonton & Download Video Musik Gratis

⬇ DOWNLOAD NOW
Kalau muncul iklan pop-up, tutup lalu klik tombol kembali

Download lagu K - MAP in Digital Logic - 1 Question 20 Answers (Secure 5 marks for sure) (Contact @ 8368017658) secara gratis hanya untuk keperluan promosi. Dukung artis favorit kamu dengan membeli musik original di iTunes atau platform resmi lainnya.