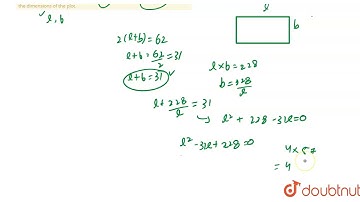
The perimeter of a rectangular plot is 62 m and its area is 228 sq metres. Find the dimensions of th

Tonton & Download Video Musik Gratis

⬇ DOWNLOAD NOW
Kalau muncul iklan pop-up, tutup lalu klik tombol kembali

Download lagu The perimeter of a rectangular plot is 62 m and its area is 228 sq metres. Find the dimensions of th secara gratis hanya untuk keperluan promosi. Dukung artis favorit kamu dengan membeli musik original di iTunes atau platform resmi lainnya.