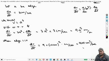
NIOS Class 12 || Maths || Application of derivatives || Check your progress 29.9

Tonton & Download Video Musik Gratis

⬇ DOWNLOAD NOW
Kalau muncul iklan pop-up, tutup lalu klik tombol kembali

Download lagu NIOS Class 12 || Maths || Application of derivatives || Check your progress 29.9 secara gratis hanya untuk keperluan promosi. Dukung artis favorit kamu dengan membeli musik original di iTunes atau platform resmi lainnya.