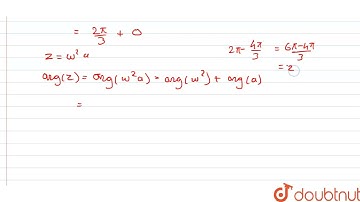
Let 'z' be a complex number and 'a' be a real parameter such that `z^2+az+a^2=0`, then

Tonton & Download Video Musik Gratis

⬇ DOWNLOAD NOW
Kalau muncul iklan pop-up, tutup lalu klik tombol kembali

Download lagu Let 'z' be a complex number and 'a' be a real parameter such that `z^2+az+a^2=0`, then secara gratis hanya untuk keperluan promosi. Dukung artis favorit kamu dengan membeli musik original di iTunes atau platform resmi lainnya.