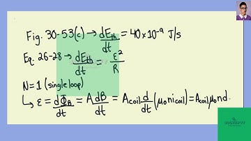
[Physics] In Fig. a circular loop of wire 10 in diameter (seen edge-on) is placed with its normal

Tonton & Download Video Musik Gratis

⬇ DOWNLOAD NOW
Kalau muncul iklan pop-up, tutup lalu klik tombol kembali

Download lagu [Physics] In Fig. a circular loop of wire 10 in diameter (seen edge-on) is placed with its normal secara gratis hanya untuk keperluan promosi. Dukung artis favorit kamu dengan membeli musik original di iTunes atau platform resmi lainnya.