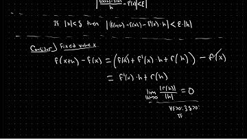
Advanced Calculus: Lecture 3 part 1: Frechet Derivatives

Tonton & Download Video Musik Gratis

⬇ DOWNLOAD NOW
Kalau muncul iklan pop-up, tutup lalu klik tombol kembali

Download lagu Advanced Calculus: Lecture 3 part 1: Frechet Derivatives secara gratis hanya untuk keperluan promosi. Dukung artis favorit kamu dengan membeli musik original di iTunes atau platform resmi lainnya.