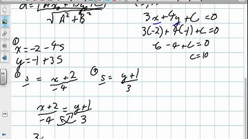
Distance Between Two Parallel Lines Grade 12 Calculus Lesson 9 5 9:12:12

Tonton & Download Video Musik Gratis

⬇ DOWNLOAD NOW
Kalau muncul iklan pop-up, tutup lalu klik tombol kembali

Download lagu Distance Between Two Parallel Lines Grade 12 Calculus Lesson 9 5 9:12:12 secara gratis hanya untuk keperluan promosi. Dukung artis favorit kamu dengan membeli musik original di iTunes atau platform resmi lainnya.