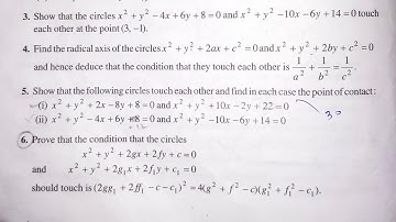
Ex-1A Q.n-5-i, ii || coordinate geometry | Lalji Prasad #themathbunny#bsc2ndyear

Tonton & Download Video Musik Gratis

⬇ DOWNLOAD NOW
Kalau muncul iklan pop-up, tutup lalu klik tombol kembali

Download lagu Ex-1A Q.n-5-i, ii || coordinate geometry | Lalji Prasad #themathbunny#bsc2ndyear secara gratis hanya untuk keperluan promosi. Dukung artis favorit kamu dengan membeli musik original di iTunes atau platform resmi lainnya.