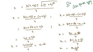
How to solve quadratic equation by quadratic formula? Class#10 Exercise#1.2 federal board

Tonton & Download Video Musik Gratis

⬇ DOWNLOAD NOW
Kalau muncul iklan pop-up, tutup lalu klik tombol kembali

Download lagu How to solve quadratic equation by quadratic formula? Class#10 Exercise#1.2 federal board secara gratis hanya untuk keperluan promosi. Dukung artis favorit kamu dengan membeli musik original di iTunes atau platform resmi lainnya.