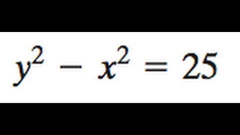
Hyperbolas: Graph the hyperbola y^2 - x^2 = 25

Tonton & Download Video Musik Gratis

⬇ DOWNLOAD NOW
Kalau muncul iklan pop-up, tutup lalu klik tombol kembali

Download lagu Hyperbolas: Graph the hyperbola y^2 - x^2 = 25 secara gratis hanya untuk keperluan promosi. Dukung artis favorit kamu dengan membeli musik original di iTunes atau platform resmi lainnya.