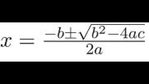
Byju's Demo Video Academic Specialist |Quadratic Equation Tutorial | How to record demo Video

Tonton & Download Video Musik Gratis

⬇ DOWNLOAD NOW
Kalau muncul iklan pop-up, tutup lalu klik tombol kembali

Download lagu Byju's Demo Video Academic Specialist |Quadratic Equation Tutorial | How to record demo Video secara gratis hanya untuk keperluan promosi. Dukung artis favorit kamu dengan membeli musik original di iTunes atau platform resmi lainnya.