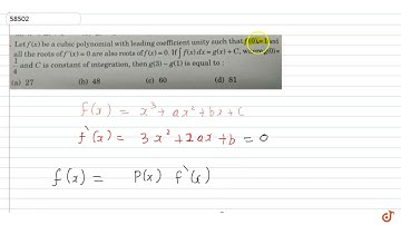
Let `f(x)` be cubic polynomial such that `f(1) = 1, f(2)= 2, f(3) = 3` and `f(4) = 16.` Find t

Tonton & Download Video Musik Gratis

⬇ DOWNLOAD NOW
Kalau muncul iklan pop-up, tutup lalu klik tombol kembali

Download lagu Let `f(x)` be cubic polynomial such that `f(1) = 1, f(2)= 2, f(3) = 3` and `f(4) = 16.` Find t secara gratis hanya untuk keperluan promosi. Dukung artis favorit kamu dengan membeli musik original di iTunes atau platform resmi lainnya.