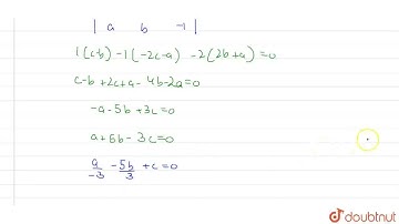
If the straight lines x+y-2=0,2 x-y+1=0 and a x+b y-c=0 are concurrent, then the family of lines ...

Tonton & Download Video Musik Gratis

⬇ DOWNLOAD NOW
Kalau muncul iklan pop-up, tutup lalu klik tombol kembali

Download lagu If the straight lines x+y-2=0,2 x-y+1=0 and a x+b y-c=0 are concurrent, then the family of lines ... secara gratis hanya untuk keperluan promosi. Dukung artis favorit kamu dengan membeli musik original di iTunes atau platform resmi lainnya.