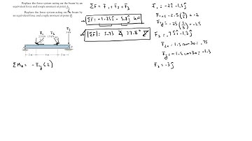
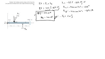
Replace the force system acting on the beam by an equivalent resultant READ DISCRIPTION - 4-106

Tonton & Download Video Musik Gratis

⬇ DOWNLOAD NOW
Kalau muncul iklan pop-up, tutup lalu klik tombol kembali

Download lagu Replace the force system acting on the beam by an equivalent resultant READ DISCRIPTION - 4-106 secara gratis hanya untuk keperluan promosi. Dukung artis favorit kamu dengan membeli musik original di iTunes atau platform resmi lainnya.