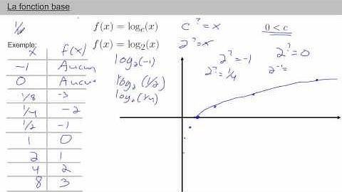
3.8 Déterminer la règle d’une fct logarithmique à partir d’une situation ou d’une table de valeurs

Tonton & Download Video Musik Gratis

⬇ DOWNLOAD NOW
Kalau muncul iklan pop-up, tutup lalu klik tombol kembali

Download lagu 3.8 Déterminer la règle d’une fct logarithmique à partir d’une situation ou d’une table de valeurs secara gratis hanya untuk keperluan promosi. Dukung artis favorit kamu dengan membeli musik original di iTunes atau platform resmi lainnya.