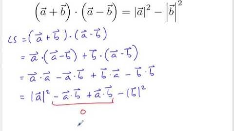
MCV4U Unit 6 Day 7b Properties of Dot Product Video Lesson

Tonton & Download Video Musik Gratis

⬇ DOWNLOAD NOW
Kalau muncul iklan pop-up, tutup lalu klik tombol kembali

Download lagu MCV4U Unit 6 Day 7b Properties of Dot Product Video Lesson secara gratis hanya untuk keperluan promosi. Dukung artis favorit kamu dengan membeli musik original di iTunes atau platform resmi lainnya.