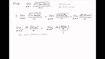
[IIT 1983] Find the limit of [g(x)f(a) - g(a)f(x)] / (x - a) as x tends to a.

Tonton & Download Video Musik Gratis

⬇ DOWNLOAD NOW
Kalau muncul iklan pop-up, tutup lalu klik tombol kembali

Download lagu [IIT 1983] Find the limit of [g(x)f(a) - g(a)f(x)] / (x - a) as x tends to a. secara gratis hanya untuk keperluan promosi. Dukung artis favorit kamu dengan membeli musik original di iTunes atau platform resmi lainnya.