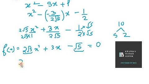
Find the quadratic polynomial the sum and product of whose zeros are 5/2 and 1 respectively

Tonton & Download Video Musik Gratis

⬇ DOWNLOAD NOW
Kalau muncul iklan pop-up, tutup lalu klik tombol kembali

Download lagu Find the quadratic polynomial the sum and product of whose zeros are 5/2 and 1 respectively secara gratis hanya untuk keperluan promosi. Dukung artis favorit kamu dengan membeli musik original di iTunes atau platform resmi lainnya.