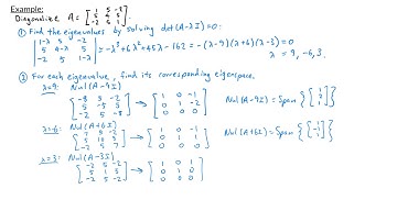
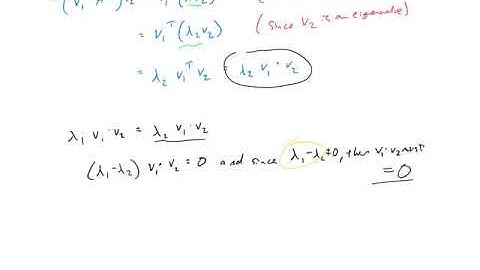
SFU MATH 232 8.1 Diagonalization of Symmetric Matrices.

Tonton & Download Video Musik Gratis

⬇ DOWNLOAD NOW
Kalau muncul iklan pop-up, tutup lalu klik tombol kembali

Download lagu SFU MATH 232 8.1 Diagonalization of Symmetric Matrices. secara gratis hanya untuk keperluan promosi. Dukung artis favorit kamu dengan membeli musik original di iTunes atau platform resmi lainnya.