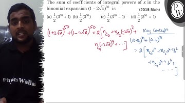
The sum of coefficients of integral power of x in the binomial expansion (1-2√x)^50 is:

Tonton & Download Video Musik Gratis

⬇ DOWNLOAD NOW
Kalau muncul iklan pop-up, tutup lalu klik tombol kembali

Download lagu The sum of coefficients of integral power of x in the binomial expansion (1-2√x)^50 is: secara gratis hanya untuk keperluan promosi. Dukung artis favorit kamu dengan membeli musik original di iTunes atau platform resmi lainnya.