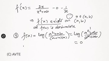
verify Rolle’s theorem for the functions f(x)=log{x^2+ab/x(a+b) }in [a, b]|verify rolle's theorem

Tonton & Download Video Musik Gratis

⬇ DOWNLOAD NOW
Kalau muncul iklan pop-up, tutup lalu klik tombol kembali

Download lagu verify Rolle’s theorem for the functions f(x)=log{x^2+ab/x(a+b) }in [a, b]|verify rolle's theorem secara gratis hanya untuk keperluan promosi. Dukung artis favorit kamu dengan membeli musik original di iTunes atau platform resmi lainnya.