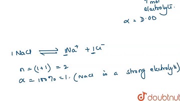
Osmotic pressure of 0.1 M solution of NaCl and Na2SO4 will be...

Tonton & Download Video Musik Gratis

⬇ DOWNLOAD NOW
Kalau muncul iklan pop-up, tutup lalu klik tombol kembali

Download lagu Osmotic pressure of 0.1 M solution of NaCl and Na2SO4 will be... secara gratis hanya untuk keperluan promosi. Dukung artis favorit kamu dengan membeli musik original di iTunes atau platform resmi lainnya.