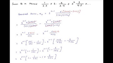
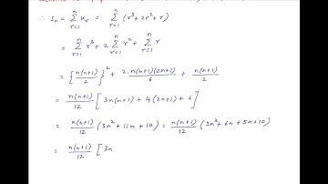
The sum of the series `2/(1.2)+5/(2.3)2^1+10/(3.4)2^2+17/(4.5)2^3+....` upto n terms is equal ...

Tonton & Download Video Musik Gratis

⬇ DOWNLOAD NOW
Kalau muncul iklan pop-up, tutup lalu klik tombol kembali

Download lagu The sum of the series `2/(1.2)+5/(2.3)2^1+10/(3.4)2^2+17/(4.5)2^3+....` upto n terms is equal ... secara gratis hanya untuk keperluan promosi. Dukung artis favorit kamu dengan membeli musik original di iTunes atau platform resmi lainnya.