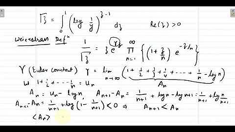
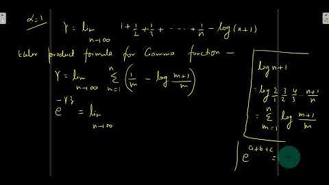
M.Sc Final Theory of Generalized functions live lecture dated 23.10.20

Tonton & Download Video Musik Gratis

⬇ DOWNLOAD NOW
Kalau muncul iklan pop-up, tutup lalu klik tombol kembali

Download lagu M.Sc Final Theory of Generalized functions live lecture dated 23.10.20 secara gratis hanya untuk keperluan promosi. Dukung artis favorit kamu dengan membeli musik original di iTunes atau platform resmi lainnya.