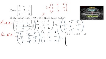
If a^3 + 3a^2 + 9a = 1, then what is the value of a^3 + (3/a)?

Tonton & Download Video Musik Gratis

⬇ DOWNLOAD NOW
Kalau muncul iklan pop-up, tutup lalu klik tombol kembali

Download lagu If a^3 + 3a^2 + 9a = 1, then what is the value of a^3 + (3/a)? secara gratis hanya untuk keperluan promosi. Dukung artis favorit kamu dengan membeli musik original di iTunes atau platform resmi lainnya.