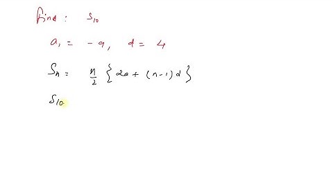
-3, -8, -13, -18, ___sum of first 10th term in the sequence | #shorts | #viral | #funny | #series

Tonton & Download Video Musik Gratis

⬇ DOWNLOAD NOW
Kalau muncul iklan pop-up, tutup lalu klik tombol kembali

Download lagu -3, -8, -13, -18, ___sum of first 10th term in the sequence | #shorts | #viral | #funny | #series secara gratis hanya untuk keperluan promosi. Dukung artis favorit kamu dengan membeli musik original di iTunes atau platform resmi lainnya.