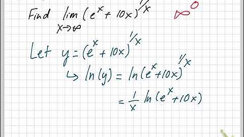
4.7 Part 3: Hidden Logarithmic Differentiation in L'Hopital's Rule | Differential Calculus

Tonton & Download Video Musik Gratis

⬇ DOWNLOAD NOW
Kalau muncul iklan pop-up, tutup lalu klik tombol kembali

Download lagu 4.7 Part 3: Hidden Logarithmic Differentiation in L'Hopital's Rule | Differential Calculus secara gratis hanya untuk keperluan promosi. Dukung artis favorit kamu dengan membeli musik original di iTunes atau platform resmi lainnya.